合作客戶/
拜耳公司 |
同濟大學 |
聯合大學 |
美國保潔 |
美國強生 |
瑞士羅氏 |
相關新聞Info
-
> 不同PQAI溶液靜態/動態表面張力變化及對脈動熱管性能影響(三)
> FYXF-3煤粉懸浮劑潤濕吸附性能、?傷害性能及在煤層氣壓裂改造現場的實施方案(一)
> 轉移式微量點膠的基本原理及膠滴的轉移率、鋪展直徑
> 離子組成、pH值對納米SiO2/SDS體系降低油水界面張力的影響(一)
> 表面張力儀符合國內、國際的標準
> 氟碳-碳氫表面活性劑復配體系表面張力變化規律與影響因素
> 溴化鋰及離子液體水溶液密度、黏度和表面張力測定與計算
> 碳微球及氨基化碳納米管組裝單元的有序LB膜制備與性能研究
> 溫度、鹽對辛基酚聚氧乙烯醚磺酸鹽的油-水界面行為的影響(二)
> 什么是?LB膜分析儀?LB膜分析儀的工作原理及作用
推薦新聞Info
-
> 可逆pH調控的納米復合稠油降黏劑:從高效乳化到快速油水分離(三)
> 可逆pH調控的納米復合稠油降黏劑:從高效乳化到快速油水分離(二)
> 可逆pH調控的納米復合稠油降黏劑:從高效乳化到快速油水分離(一)
> 基于表面光散射法的棕櫚酸甲酯/乙酯高溫表面張力與黏度測量(三)
> 基于表面光散射法的棕櫚酸甲酯/乙酯高溫表面張力與黏度測量(二)
> 基于表面光散射法的棕櫚酸甲酯/乙酯高溫表面張力與黏度測量(一)
> 不同礦漿濃度、粒度、伴生礦物、捕收劑和起泡劑對礦漿表面張力的影響(三)
> 不同礦漿濃度、粒度、伴生礦物、捕收劑和起泡劑對礦漿表面張力的影響(二)
> 不同礦漿濃度、粒度、伴生礦物、捕收劑和起泡劑對礦漿表面張力的影響(一)
> 長慶油田隴東地區的CQZP-1助排劑表/界面張力測量及現場應用(三)
裂縫性水封氣藏解封過程中潤濕反轉劑濃度、氣水界面張力變化(二)
來源:天然氣工業 瀏覽 1156 次 發布時間:2025-02-07
2裂縫性水封氣藏解封孔隙尺度模擬
在明確儲層物性、潤濕性、水封程度、裂縫壓力對解封壓差影響規律的基礎上,建立裂縫性水封氣藏解封的微觀排水孔隙尺度模型,研究壁面潤濕性、氣水界面張力和裂縫壓力對微觀氣驅排水和解封效率的影響規律,揭示解封過程的微觀排水作用機制。
2.1控制方程
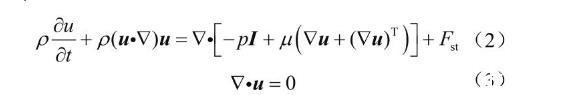
在計算流體力學中,控制方程是描述流體運動的基本數學方程。控制方程主要包括動量守恒方程(N—S方程)和質量守恒方程(連續性方程),如下所示[36]:
式中ρ表示流體密度,kg/m3;u表示速度矢量,m/s;p表示壓力,Pa;I表示單位矩陣;μ表示流體的動力黏度,mPa·s;Fst表示氣水兩相的界面張力,N/m。
2.2界面追蹤方程
為更準確地模擬微觀排水過程的氣水兩相流動行為,通過N—S方程和質量守恒方程描述多相流體流動機制,同時耦合關于相變量的界面追蹤法(水平集法、流體體積法、相場法等)追蹤氣水界面。本文采用水平集方法,該方法可以在固定網格上進行數值計算,大幅降低計算復雜度。在氣水兩相流中,引入水平集函數(φ)來定義各自的體積分數,用來描述具有一定厚度的相界面,它是一個從0到1呈梯度變化的值,其中φ=0表示流體為氣相,φ=1表示流體為水相,取φ=0.5的等值面作為相界面。水平集方法相變量的演化方程如式(4)所示,描述了微觀排水過程的氣水界面變化[37-38]。
式描述相界面的移動,其中表示時間的積累項,表示對流項,φ表示水平集函數;γ表示水平集函數重新初始化參數,m/s;ε表示界面厚度參數,m。
計算域內氣水兩相流體的全局密度和動力黏度,以滿足水平集函數的平滑階躍特性[39]:
式中ρw、ρg分別表示水、氣的密度,kg/m3;μw、μg分別是水、氣的黏度,mPa·s。
2.3邊界與初始條件
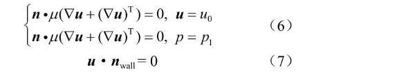
氣水兩相微觀滲流仿真中,提出以下假設條件:初始化狀態下孔隙域內全飽和為水相;左端入口面為氣相,滿足定流邊界條件,右端出口面為定壓邊界條件,入口和出口處的初始狀態方程如式(6)所示;四周為封閉邊界,無流體通過,封閉壁面的邊界條件如式(7)所示[36,40]。
式中n表示固體壁面的單位法向量;u0表示入口處的速度,m/s;p1表示出口處的壓力,Pa,nwall表示封閉邊界的單位法向量。
2.4模型建立
采用物理場數值模擬方法建立水封氣藏解封預測模型,研究氣體驅動排水過程中儲層孔隙內的氣水兩相滲流機制。首先,提出儲層真實孔隙模型建立方法:基于CT掃描技術對巖心柱進行精細成像,通過圖像處理技術獲得其灰度圖像;經過降噪、濾波、二值化等步驟,運用Avizo軟件構建出高精度的3D立體真實孔隙模型;然后,從模型中提取典型的孔喉結構(直徑143μm,長度400μm的圓柱體,與實驗巖心尺寸比例一致),導入COMSOL Multiphysics軟件以構建基礎模型。最后,通過模擬實驗實時追蹤氣水兩相界面的動態變化,探究氣水兩相滲流特征查明影響氣驅排水效果的關鍵因素,如注入速度、巖石壁面潤濕性、氣水界面張力和出口端壓力等,揭示氣驅排水過程的微觀兩相滲流機理。





